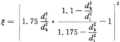
附录D 减压孔板的局部阻力系数 减压孔板的局部阻力系数,取值应按下式计算或按表D确定: 式中:dk——减压孔板的孔口直径(m)。 表D 减压孔板的局部阻力系数 dk/dj 0.3 0.4 0.5 0.6 0.7 0.8 ξ 292 83.3 29.5 11.7 4.75 1.83